Explain about iterative nonlinear restoration using the Lucy–Richardson algorithm.
Lucy-Richardson algorithm is a nonlinear restoration method used to recover a latent image which is blurred by a Point Spread Function (psf). It is also known as Richardson-Lucy deconvolution.
With as the point spread function, the pixels in observed image are expressed as,

Here,
uj = Pixel value at location j in the image
ci = Observed value at ith pixel locacation
The L-R algorithm cannot be used in application in which the psf (Pij) is dependent on one or more unknown variables.
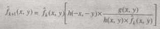
The L-R algorithm is based on maximum-likelihood formulation, in this formulation Poisson statistics are used to model the image. If the likelihood of model is increased, then the result is an equation which satisfies when the following iteration converges.

Here,
f = Estimation of undegraded image.
The factor f which is present in the right side denominator leads to non-linearity. Since, the algorithm is a type of nonlinear restorations; hence it is stopped when satisfactory result is obtained.
The basic syntax of function deconvlucy with the L-R algorithm is implemented is given
below.
fr = Deconvlucy (g, psf, NUMIT, DAMPAR, WEIGHT)
Here the parameters are,
g = Degraded image
fr = Restored image
psf = Point spread function
NUMIT = Total number of iterations.
The remaining two parameters are,
DAMPAR
The DAMPAR parameter is a scalar parameter which is used to determine the deviation of resultant image with the degraded image (g). The pixels which gel deviated from their original value within the DAMPAR, for these pixels iterations are cancelled so as to reduce noise generation and present essential image information.
WEIGHT
WEIGHT parameter gives a weight to each and every pixel. It is array of size similar to that of degraded image (g). In applications where a pixel leads to improper image is removed by assigning it to a weight as 0’. The pixels may also be given weights depending upon the flat-field correction, which is essential according to image array. Weights are used in applications such as blurring with specified psf. They are used to remove the pixels which are pre9ent at the boundary of the image and are blurred separately by psf.
If the array size of psf is n x n then the width of weight of border of zeroes being used is ceil (n / 2)